

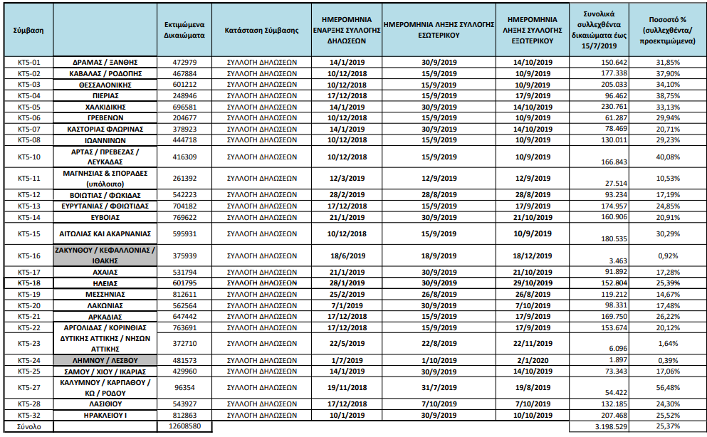
Μόλις το 25,37% των ιδιοκτήτων από τις 24 τρέχουσες συμβάσεις για την συλλογή δηλώσεων Κτηματολογίου, έχει συμμετάσχει στην διαδικασία – παρά το γεγονός πως ξεκίνησε από τον περασμένο Νοέμβριο η κτηματογράφηση για το 63% της χώρας.
Τα στοιχεία είναι παραπάνω από απογοητευτικά, με δεδομένο πως οι παρατάσεις ενώ δίνονται… απλόχερα, δεν τις εκμεταλλεύονται οι πολίτες.
Αυτός, είναι και ο λόγος όπως επισημαίνουν στο economix.gr μηχανικοί, εκτιμώντας παράλληλα ότι αν δεν σφίξουν τα χρονοδιαγράμματα δεν πρόκειται να ολοκληρωθεί εντός χρονικών πλαισίων το Κτηματολόγιο.

Την ίδια ώρα, παράταση ανακοίνωθηκε για Μαγνησία και Σποράδες και θα ακολουθήσουν οι περιοχές Κάλυμνος, Κάρπαθος, Κως και Ρόδος των οποίων οι προθεσμίες λήγουν στις 31 Ιουλίου.
Σύμφωνα με τα στοιχεία που έχει στην διάθεση του το economix.gr, προκύπτει πως η συμμετοχή των πολιτών παραμένει σε χαμηλά επίπεδα, με το ποσοστό να φτάνει μόλις το 25,37%.
Ειδικότερα, έως τις 15 Ιουλίου από τα συνολικά 12.608.580 δικαιώματα που περιλαμβάνονται στις 24 τρέχουσες συμβάσεις, έχουν συλλεχθεί 3.198.529 δηλώσεις.
Πιο συγκεκριμένα, πρωτιά συμμετοχής έχουν οι Π.Ε. Καλύμνου, Καρπάθου, Κω και Ρόδου των οποίων το ποσοστό συλλεχθέντων δικαιωμάτων ανέρχεται στο 56,48%, ακολουθούν οι Π.Ε. Πρέβεζας και Άρτας και Π.Ε. Λευκάδας με ποσοστό 40,08% ενώ έπεται η Π.Ε. Πιερίας με 38,75%.
Σημαντικά χαμηλά είναι τα επίπεδα σε άλλες περιοχές, όπως για παράδειγμα οι Π.Ε. Λήμνου και Λέσβου των οποίων η συλλογή δηλώσεων ξεκίνησε πρόσφατα και το ποσοστό ανέρχεται μόλις στο 0,39%.
Αντίστοιχη εικόνα επικρατεί και στις Π.Ε. Κεφαλονιάς, Ιθάκης και Ζακύνθου αφού έχει συλλεχθεί το 0,92%.
Ακολουθεί η Π.Ε. Αττικής και Νήσων με 1,64%.
Την ίδια ώρα, η Διοίκηση του Κτηματολογίου έχει καταθέσει στην διάθεση του υπουργού Περιβάλλοντος και Ενέργειας Κωστή Χατζηδάκη, τις παραιτήσεις τους – ενώ όπως αναφέρουν πηγές δεν βρίσκονται τις τελευταίες ημέρες στα γραφεία.
Πάντως, ο υπουργός κατά τις προγραμματικές δηλώσεις, είπε πως έχει υπάρξει πρόοδος τόσο με το Κτηματολόγιο, όσο και με τους δασικούς χάρτες ενώ σημείωσε ότι η κυβέρνηση θα επικεντρωθεί στην ολοκλήρωσή τους με επίσπευση των διαδικασιών.
Υπενθυμίζεται ότι η τρέχουσα συλλογή δηλώσεων, που αφορά το 63% της χώρας, περιλαμβάνει αγροτικές περιοχές (περίπου 36%), αστικές περιοχές (περίπου 4%), πλήθος οικισμών με διαφορετικά χαρακτηριστικά (αραιοδομημένοι σε αγροτικές περιοχές, ορεινοί σε έντονο ανάγλυφο, παραδοσιακοί, ενεργοί και μη, νησιωτικοί κ.λπ.), δασικές εκτάσεις και υδάτινους όγκους, καθώς και νησιά και βραχονησίδες της Ελλάδας.
Παράλληλα, είναι σημαντικό να σημειωθεί ότι η υποβολή της δήλωσης είναι υποχρεωτική, καθώς σε αντίθετη περίπτωση επέρχονται οι κατά το νόμο κυρώσεις, οι οποίες προβλέπουν ότι τα «αγνώστου ιδιοκτήτη ακίνητα» περιέρχονται στο Δημόσιο.
Στην περίπτωση αυτή, οι ιδιοκτήτες έχουν το δικαίωμα δικαστικής προσφυγής αλλά µόνο για να διεκδικήσουν αποζημίωση και όχι για την επιστροφή της κυριότητας του ακινήτου.
Όσον αφορά το κόστος της διαδικασίας, το πάγιο τέλος κτηματογράφησης είναι 35 ευρώ για κάθε δικαίωμα σε κύριο χώρο (διαμέρισμα, κατάστημα, οικόπεδο κ.λπ.).
Για τους βοηθητικούς χώρους (αποθήκες, χώροι στάθμευσης), που αποτελούν αυτοτελείς ιδιοκτησίες, δηλαδή έχουν χιλιοστά στο οικόπεδο και δεν αναφέρονται στον τίτλο ως παρακολουθήματα, το τέλος κτηματογράφησης είναι 20 ευρώ για κάθε δικαίωμα.
Στις αγροτικές περιοχές τα φυσικά πρόσωπα μόνον, που δηλώνουν περισσότερα από δύο δικαιώματα κυριότητας ή δουλείας στον ίδιο προκαποδιστριακό ΟΤΑ, καταβάλλουν πάγιο τέλος για δύο μόνο δικαιώματα, ανεξάρτητα από τον συνολικό αριθμό δικαιωμάτων, που δηλώνουν στον συγκεκριμένο ΟΤΑ.
Δείτε εδώ τον πίνακα με όλα τα στοιχεία ανά περιοχή:















